This shell (below) is “my own”, made it myself, thus all rights reserved : )

Cute Math – Explore the forces that give shells their shape
Research by Jason Treat and Ben Scott
Design and development by Ben Scott
UX design by Megan McCrink
Writing by Ben Scott, Jason Treat, and Eve Conant
Visual narrative edited by Claire Manibog
Additional thanks to Derek Moulton
Math is everywhere. It’s a gateway to understanding the beauty of our natural world, from tree branches (fractals) to flower petals (the Fibonacci sequence). But you don’t need to love math to appreciate nature’s wonders. Take seashells, for example. All shells start with a spiral.
Shell shapes are determined by both simple and complex physical processes – dilating, coiling, twisting, and more. Clams, mussels, and snails, which belong to the mollusk family, build their shells by secreting layers of calcium carbonate and proteins. As these secretions harden, the mollusk’s shell takes shape.
Of course, mollusks aren’t crunching numbers when building their shells. But we humans can use math, from simple addition to calculus, to understand how seashells grow and to build a 3D model of one.
How we made the interactive seashell builder
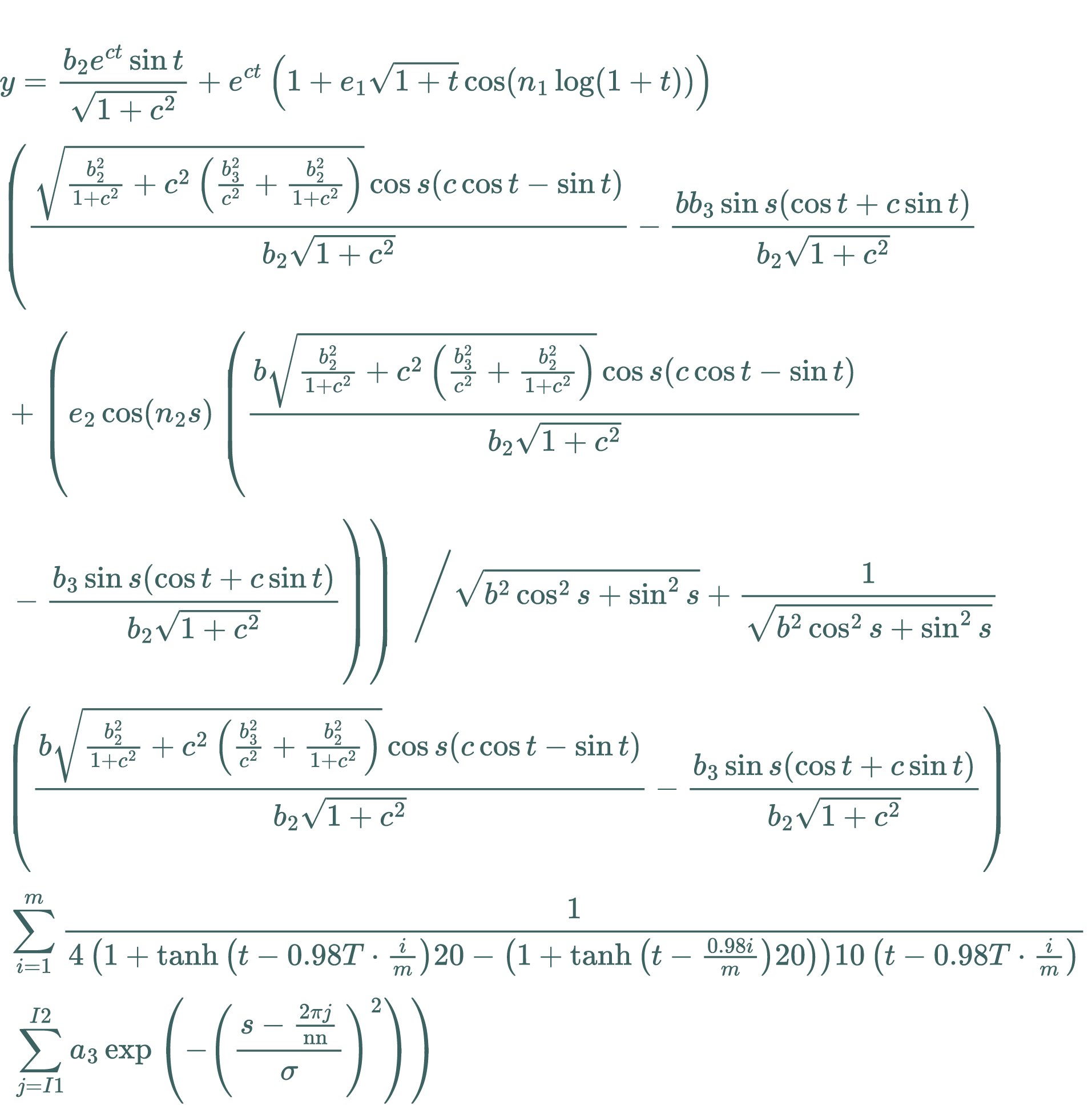
All seashells start with a spiral. We plot this spiral in 3D using a mathematical function for a helicospiral. To give volume to this spiral, we loop a circle through the entire spiral and record the circle’s points at each step – similar to running a wedding ring around a bedspring.
To make the spiral more complex and seashell-like, we incorporate more math that changes the spiral’s shape. For example, the number of whorls is defined by the range for a variable named t, and the tightness of the whorls is the tangent of the spiral’s angle.
Below is a snippet of the final code we used for creating a 3D seashell model:

Make your own seashell
[ https://www.nationalgeographic.com/science/graphics/design-your-own-shell ]
